Mayank Jain

deep learning

How to Evaluate your AI

Metrics to Test Your AI Algorithm

AI 3 min read August 9, 2020

So you’ve finally finished training the last epoch of your AI. It’s always a great feeling after hours of cleaning data and waiting for those epochs to finish up.

Now comes one of the most important parts of finishing up a new model … evaluating its performance.

Most tutorials online use % accuracy to measure a model’s performance. Yet despite its popularity, that’s not always the best option.

The Downfalls of Accuracy


To show accuracy can be a misleading metric, I’m going to use a model that detects COVID-19 as an example.

Let’s take the world’s COVID data as an example


COVID case count as of August 9, 2020

COVID Case count as of August 9th, 2020 as per Google


The current population of the Earth is 7.8 billion people.

Now imagine a model that diagnosed every single person as COVID free. It’s pretty obvious that this is the worst possible model to deploy … right?

19,700,000 / 7,800,000,000 = 0.253% error

This model would have a 0.252% error. That means a 99.747% accuracy.

Take that in … a model can achieve 99.747% accuracy by saying nobody in the world has coronavirus!

Trusting models like this to diagnose diseases would mean the end of the world.


The end is near, my dear

So it’s obvious that some models need a different way of measuring their performance.

The Confusion Matrix

One popular way to visualize the performance of a model is the confusion matrix.


confusion matrix table

These matrices show that not all model errors are the same. There’s actually two types of errors: False Positives (Type 1) and False Negatives (Type 2).

Depending on what your model is predicting, one can be more dangerous than the other.

Precision and Recall

These two metrics focus on tracking one type of error (Type 1 or 2).


Precision and Recall equations

Precision is used to avoid false positives. Spam detectors would optimize for high precision. Any false positives would cause it to delete important emails. Precision models focus on reducing false positives, even if it increases false negatives.

Recall is used when false negatives are dangerous. Medical diagnosis models should optimize for high recall. Otherwise, they’d let sick patients go home. Recall models focus on reducing false negatives, even if it increases false positives.

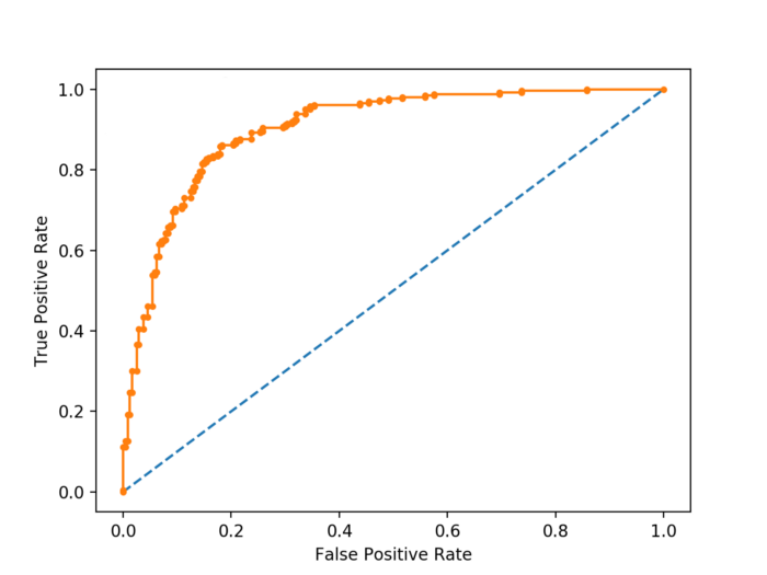
ROC Curves

An ROC curve measures how good a model is at differentiating between two classes.

They’re often better than only measuring how good the model is at finding True Positives. (this is what accuracy tracks)


ROC curve graph

When a model makes a prediction, it gives certainty between 0–1. The model then classifies it as a positive only if that confidence is above a certain threshold.

An ROC curve is a graph of the True Positive VS False Positive rates of every possible threshold.

If you take the areas underneath an ROC curve, you number between 0–1. This value represents how well your model performs.


Area under a ROC Curve

Next time you’re evaluating your model, choose a metric based on what’s important for your model to achieve.